Figure 3
Download original image
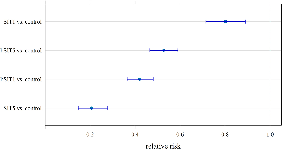
Fitted relative risks of emergence of adult Aedes albopictus from eggs exposed to four different options (treatment) of the sterile insect technique (SIT) boosted with pyriproxyfen or not, during a semi-field experiment implemented at CIRAD La Bretagne Research Station (Sainte-Clotilde, La Reunion) from November 2020 to April 2021. Treatment labels: SIT1 or SIT5 with a sterile-to-fertile male ratio of 1:1 or 5:1; bSIT1 or bSIT5: the same with sterile males boosted with pyriproxyfen. Rows were ordered from the most (top) to the least (bottom) effective treatment category against Aedes albopictus.
Current usage metrics show cumulative count of Article Views (full-text article views including HTML views, PDF and ePub downloads, according to the available data) and Abstracts Views on Vision4Press platform.
Data correspond to usage on the plateform after 2015. The current usage metrics is available 48-96 hours after online publication and is updated daily on week days.
Initial download of the metrics may take a while.
